Así como la asignación a los partidos con derecho, según el procedimiento
Redacción
CULIACÁN, Sin.- El Consejo General del Instituto Electoral del Estado de Sinaloa (IEES) en sesión especial aprobó los acuerdos relativos a los cómputos estatales de la elecciones de la gubernatura de Sinaloa, y la correspondiente a diputaciones por el principio de representación proporcional, así como la asignación a los partidos con derecho, según el procedimiento que establece la Ley de Instituciones y Procedimientos Electorales del estado de Sinaloa (LIPEES).
En su mensaje, la Consejera Presidenta del IEES, Karla Gabriela Peraza Zazueta ponderó el trabajo del Instituto en este proceso electoral local 2020-2021, a pesar de las implicaciones derivadas de la pandemia de la Covid-19, y en ese sentido agradeció el acompañamiento del Instituto Nacional Electoral (INE) y el apoyo de Gobierno Estatal en materia financiera, de salud y seguridad.
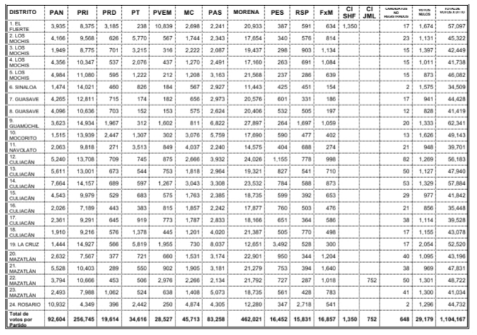
Con relación al cómputo estatal de la Gubernatura y habiéndose recibido en este órgano electoral los originales de las actas de cómputo distrital, remitidas por cada uno de los 24 Consejos Distritales electorales de la entidad, se procedió a su revisión y se realizó la sumatoria de resultados contenidos, con los siguientes resultados:

En virtud de haber obtenido mayoría de votos en la elección a la Gubernatura, con 624 mil 225 votos, que representan el 56.60%, este Consejo General entregó la constancia de mayoría al candidato a Gobernador Constitucional del Estado postulado en candidatura común por los partidos políticos Sinaloense y Morena, Rubén Rocha Moya.
Con relación al cómputo estatal de la elección de diputados por el principio de representación proporcional y su asignación a los partidos con derecho, según el procedimiento a que alude el numeral 262, fracción II de la LIPEES, se obtiene que al revisar y verificar el IEES los originales de las actas de cómputo distrital por cada uno de los 24 consejos distritales electorales de la entidad, se obtuvieron los siguientes resultados:

De acuerdo a los porcentajes de votación se asignaron un total de 16 diputaciones por el principio de representación proporcional, de acuerdo con cada una de las etapas estipuladas en la fórmula establecida, quedando distribuidas en número y en partidos de la siguiente manera: Partido Acción Nacional (PAN), 2; Partido Revolucionario Institucional (PRI), 7; Partido del Trabajo (PT), 1; Movimiento Ciudadano (MC) 1, y Movimiento de Regeneración MORENA, 5.
Una vez concluida la asignación de diputaciones por el principio de representación proporcional, se tiene que el Congreso del estado estará integrado por 23 mujeres y 17 hombres, atendiendo con ello lo dispuesto por el artículo 21, de los Lineamientos para el Cumplimiento del Principio de Paridad de Género en la Postulación de Candidaturas para el Proceso Electoral 2020-2021.



